"This site requires JavaScript to work correctly"

Forschen an der THD

Innovativ & Lebendig

campus plattling.

moderne mobilität

Über den campus Plattling

 

Seit Herbst 2020 ist der TCP im Herzen der ehemaligen Eisenbahner-Stadt Plattling angesiedelt. Der TC Plattling unterteilts ich in die beiden Forschungsbereiche "Moderne Mobilität" und "Echtzeit Computertomographie". Moderne Mobilität bildet dabei in einzigartiger Weise an einem Standort konzentriert die relevanten Kernforschungsfelder für elektrifizierte mobile autonome Systeme ab. Die Robo CT für die Analyse komplexer und großvolumiger 3D Objekte stellt in der realisierten Form und gepaart mit der vorhandenen Expertise eine exponierte Einrichtung im Forschungsfeld dar. Durch die ergänzende Kooperation der einzelnen Forschungsgruppen mit renommierten Forschungseinrichtungen und Lehrstühlen avanciert der TCP zu einer anerkannten Einrichtung der angewandten Forschung.  

Der Fachbereich Leistungselektronik um Prof. Dr.-Ing. Otto Kreutzer forscht an den Themen:

  • Leistungselektronik zur E-Mobilität (KFZ, Schienenfahrzeuge usw.)
  • Hochleistungsladestationen mit hoher Effizienz (in Kombination mit Speicherlösungen)
  • DC/DC Wandlung im Umfeld von Elektrolyseuren/Brennstoffzellen sowie
  • Smart Grid & Erneuerbare Energien
  • AC/DC Wandlung im 16,7 und 50 Hz Netz
  • DC/AC Wandlung in Antriebsumrichtern für Brennstoffzellensysteme und Batterieelektrische Antriebe

Die zentrale Aufgabe besteht in der, für die jeweilige Anwendung spezifische, Entwicklung und Optimierung leistungselektronischer Wandler.

 

Forschungsarbeit

Analysen, Berechnungen, Simulationen sowie die Erstellung von Schalt- und Bestückungsplänen bilden die Grundlage der Forschungsarbeit.

 

Anschließend erfolgt die Fertigung der Prototypen. Hierfür steht eine kleine Werkstatt für mechanische Arbeiten, ein Wickelplatz für den Eigenbau von Wickelgütern sowie das Leistungselektroniklabor für sämtliche elektronische Tätigkeiten bereit.

im Bild: Bestückung der SMD Komponenten eines Hochsetzstellers

im Bild: Bestückung der bedrahteten Komponenten

Um eine hohe Effizienz der Schaltungen zu erreichen, müssen auch passive Komponenten, z. B. Wickelgüter, selbst angefertigt werden um die benötigten Parameter zu erreichen.

Nach Fertigstellung der Schaltungen folgt die Inbetriebnahme sowie das Prüfen und Messen sämtlicher Parameter. In der Leistungselektronik nimmt vor allem die Messung des Wirkungsgrades einen hohen Stellenwert ein.

 

Schlussendlich erfolgt der finale Test der Forschungsarbeit in der Anwendung.

 

im Bild: Intelligentes Einzelzellen-basiertes Batteriemanagementsystem für ein Multi-Level Batteriesystem

 

Exemplarische, aktuelle Herausforderungen

  • Aufbau eines autarken Systems mit Einspeisung der Sonnenenergie und Speicherung der Energie in Form von Wasserstoff
  • Entwicklung einer erdvergrabbaren DC-Schnellladesäule, die aus dem Bahnstromnetz (15 kV 16,7 Hz) versorgt werden kann (Rail-HPC)
  • Direkte Einspeisung von E-Fahrzeugen aus Photovoltaikanlagen (Direkt PV)
  • Diverse Auftragsforschungen

 

Übersicht geräte

  • 4-Quadranten AC Netzsimulator
  • Bidirektionale DC Versorgungen
  • SMD Bestückungsplatz (Schablonendrucker, Bestückungsautomat, Reflow Lötofen usw.)
  • Vektor-Netzwerkanalysator
  • Sättigungsstrommessgerät
  • Teilentladungsprüfgerät
  • Dickdrahtbonder
  • Hochspannungs-Isolationsmessgerät
  • usw.

Die gesamte Übersicht ist zu finden unter: Ausstattung Leistungselektronik Plattling

 

aktuelle Förderprojekte

Nefton / Nefton 3000 - Nutzfahrzeugelektrifizierung für Transportsektor-optimierte Netzanbindung; Teilvorhaben: Passiv gekühlte, unidirektionale Leistungselektronik

Im Projekt NEFTON wird ein Schnellladesystem für batteriebetriebene Nutzfahrzeuge entwickelt. Dazu wird eine hocheffiziente, bidirektionale Ladesäule im Megawattbereich entwickelt. Zum anderen wird ein Fahrzeugprototyp entwickelt, der sowohl die technischen als auch die kundenspezifischen Anforderungen optimal erfüllte. 

Im Rahmen des Teilvorhabens wird der Fokus auf die Ladesäule des LKWs gelegt. 

Rail-HPC - Erdvergrabbare Schnellladesäule für Batterieelektrische PKW mit einer Versorgung aus der Bahnstrom-Oberleitung

Das Projekt hat zum Ziel eine hocheffiziente, skalierbare Schnellladesäule für Elektrofahrzeuge (HPC = High Power Charger) mit 50 kW Ladeleistung zu entwickeln, die direkt aus der Oberleitung des Bahnstromnetzes (15 kV, 16,7 Hz) versorgt werden kann, aber wahlweise auch aus dem öffentlichen Stromnetz. Durch eine spezielle Leistungselektronik sind also beide Stromnetze nutzbar.

Restladung - Entwicklung und Hochautomatisierte Produktion einer DC-Wallbox mit Einphasenregelung; Teilvorhaben: Entwicklung einer hocheffizienten, phasengenauen Leistungselektronik sowie einer KI basierten Prozessdatenauswertung

In diesem Projekt wird eine DC-Wallbox entwickelt, die die verfügbaren Restkapazitäten in den einzelnen Phasen bestehender Hausanschlüsse überwacht, diese individuell nutzen und auf Veränderungen in der Auslastung reagieren kann, sodass die einzelnen Phasen des Anschlusses optimal genutzt werden können. Hierfür ist die Neuentwicklung der beteiligten Leistungselektronik und Regelungstechnik erforderlich.

Innovatives Bildungsfach - Innovatives, gemeinsames und grenzübergreifendes Bildungskonzept für Hochschulstudierende im Bereich Lehre

 

Abgeschlossene projekte

DirektPV 

 

Die Arbeitsgruppe um Prof. DI Dr.techn. Michael Sternad beschäftigt sich mit folgenden Forschungsthemen:

  • Hochleistungs- (high-power-) Lithium-Ionen-Batterien
  • Alterungseffekte u.a. beim Schnelladen von Lithium-Ionen-Batterien
  • Lithium-Metallbatterien mit Elektrolyten basierend auf ionischen Flüssigkeiten
  • Neuartige Elektrodenmorphologien (z.B. mittels Laser-Patterning)

Publikationen von Prof. Sternad: Google Scholar  Web of Science  ORCID

 

ausgewählte publikationen

 

Tracing the Powerfade: Location and Quantification of the Fluoridic Solid Electrolyte Interphase on Graphite Anodes (243rd ECS-Meeting, Boston, 2023)

 

 

Positive Korrelation zwischen der Stärke der fluoridischen SEI und der Gleichstrom-Zellimpedanz (DC-impedance) einer 21700-Zelle

Furtmair, M.; Wolters, A.; Simic, S.; Thannhuber, M.; Ruhl, G.; Sternad, M., Tracing the Powerfade: Location and Quantification of the Fluoridic Solid Electrolyte Interphase on Graphite Anodes. In 243rd ECS Meeting, Boston, USA, 2023.

 

A Lithium‐Silicon Microbattery with Anode and Housing Directly Made from Semiconductor Grade Monocrystalline Si

(Advanced Materials Technologies, 2021, Zusammenarbeit mit Infineon Technologies Austria AG, veröffentlicht mit Mitteln der Europäischen Union (European Regional Development Fund, ERDF))

 

 

 Vollintegrierte Lithium-Silizium-Mikrobatterie, einkristallines Silizium als Anoden- und Gehäusematerial

Sternad, M.; Hirtler, G.; Sorger, M.; Knez, D.; Karlovsky, K.; Forster, M.; Wilkening, H. M. R., A Lithium‐Silicon Microbattery with Anode and Housing Directly Made from Semiconductor Grade Monocrystalline Si. Advanced Materials Technologies 2021.

 

Nascent SEI-Surface Films on Single Crystalline Silicon Investigated by Scanning Electrochemical Microscopy

(2019, Zusammenarbeit mit AG Prof. G. Wittstock, Uni Oldenburg)

Aufklärung der Deckschichtbildung (SEI) auf einer Batterieanode aus einkristallinem Silizium mittels SECM (Scanning Electrochemical Microscopy)

dos Santos Sardinha, E.; Sternad, M.; R. Wilkening, H. M.; Wittstock, G., Nascent SEI-Surface Films on Single Crystalline Silicon Investigated by Scanning Electrochemical Microscopy. ACS Applied Energy Materials 2019, 2, (2), 1388-1392.

 

Aging of Tesla's 18650 Lithium-Ion Cells: Correlating Solid-Electrolyte-Interphase Evolution with Fading in Capacity and Power

(2017, Zusammenarbeit mit AVL List GmbH)

Charakterisierung einer 18650-Tesla-Zelle, Studium des Alterungsverhaltens bei unterschiedlichen Temperaturen und C-Laderaten

Uitz, M.; Sternad, M.; Breuer, S.; Täubert, C.; Traußnig, T.; Hennige, V.; Hanzu, I.; Wilkening, M., Aging of Tesla's 18650 Lithium-Ion Cells: Correlating Solid-Electrolyte-Interphase Evolution with Fading in Capacity and Power. Journal of The Electrochemical Society 2017, 164, (14), A3503-A3510.

 

The microstructure matters: breaking down the barriers with single crystalline silicon as negative electrode in Li-ion batteries

(Scientific reports, Nature Publishing Group, 2016)

Studium der grundlegenden elektrochemischen Eigenschaften von einkristallinem Silizium (100) während der Lithierung

Sternad, M.; Forster, M.; Wilkening, M., The microstructure matters: breaking down the barriers with single crystalline silicon as negative electrode in Li-ion batteries. Sci Rep 2016, 6, 31712.

 

verfügbare methoden und geräte

Arbeiten unter Schutzgas

  • MBRAUN Labmaster Pro SP Glovebox (Argon, < 0.5 ppm H2O)

Präparation von Labortestzellen (Swagelokzellen, Knopfzellen, Pouchzellen)

  • Fritsch PULVERISETTE 7 Planetenmühle (Slurrypräparation)
  • Proceq ZAA 2300 Automatisches Filmziehgerät (Rakel 80-100 mm)
  • Feinvakuum-Trockenlinie (p = 10-2-10-3 mbar), Büchi Glasöfen
  • Metrohm 831 Karl Fischer Coulometer mit 860 KF Headspaceofen
  • Mettler XSR105DU Analysenwaage (0.01 µg Auflösung)
  • Swagelok-, Knopf und Puchzellfertigung

Elektrochemische Charakterisierung von Labortestzellen

  • Biologic MPG 2 Potentiostat, 2 x 16 Kanäle
  • Biologic SP 50 Potentiostat, 1 Kanal
  • Memmert Temperaturschränke (25, 40, 60°C)

Elektrochemische Charakterisierung von industriellen Zellen (z.B 21700)

  • Arbin LBT21084HC Batteriezyklisierer, 40 Kanäle, 0-5 V, 60 A
  • Hochpräzisionstemperiervorrichtung für 18650/21700-Zellen (T +/- 1 K unter 20 A Last)

Chemische Analytik, bildgebende Verfahren und weitere Apparaturen

  • Agilent Cary 630 FTIR/ATR-Spektrometer (Diamant- and Ge- Kristalloptiken)
  • Agilent 8860/5977C GC-MS-System
  • Thermo Fisher NEXSA Röntgenphotoelektronenspektroskop (XPS, TC-Teisnach)
  • Zeiss Ultra 55 Rasterelektronenmikroskop, EDAX EDS Detektor
  • ZEISS METROTOM Computertomograph (5 µm spot size)
  • Rotofix 32 A Tischzentrifuge (Elektrolytsampling aus Batteriezellen)
  • Zugang zu Hg-Porosimeter, Dionex Ionenaustauschchromatographie, Flammen- und Graphitrohr-Atomabsorptionsspektrometrie (AAS), etc

 

Glovebox (rechts im Bild) mit dahinterliegender Trockenlinie

Glovebox, im Abzug verbaute Feinvakuum-Trockenlinie

Arbin Hochstromzyklisierer

Kupferwärmetauscher zur präzisen Thermostatisierung von Batteriezellen während des Testes

Herstellung von Elektroden: Beschichtung von Stromableiterfolien mit sogenanntem „Slurry“ (viskose Aktivmaterialmischung)

Laborkalander zur Verdichtung der getrockneten Aktivmaterialbeschichtung mit einer fertigen Elektrodenbahn im Vordergrund

 

dienstleistungen

Qualifizierung von Batteriezellen:

Vor dem Einsatz einer Zelle in einem konkreten Produkt ist es meist die Obliegenheit des Zellherstellers einem z.B. Geräte- oder Automobilhersteller die Qualität und Sicherheit seiner Zelle nachzuweisen (sie zu „Qualifizieren“).

Eine typische Batteriequalifizierung umfasst:

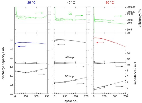
  • die Zyklisierung der Zellen bei 25, 40 und 60 °C, 750 Zyklen unter den Lade- und Entladebedingungen, welche vom Zellhersteller vorgegeben sind (laut Specsheet). Es werden elektrische und elektrochemische Meßgrößen wie die Entladekapazität, die Coulombeffizienz (Ladungseffizienz) sowie die AC (1 kHz)- und DC (5 s, 20 A)- Impedanz erfaßt.
  • die Öffnung je einer ausgewählten Zelle pro Temperatur unter Schutzgas in einer Glovebox („post mortem Analyse“):
  1. a.    Beurteilung des makroskopischen Zustandes, vor allem der Anoden (in Bezug auf Lithiumplating) und der Separatoren (Kurzschlüsse oder thermische Auffälligkeiten, Hotspots)
  2. b.    Detaillierte Fotodokumentation aller Zellbestandteile (Anoden, Kathoden, Separatoren, Zellgehäuse und Sicherheitseinrichtungen
  3. c.    Erfassung der geometrischen Parameter der Elektrodenbahnen und des Separators inklusive der Aktivmaterial-Schichtdicken
  4. d.    Makroskopische Prüfung der Sicherheitseinrichtungen der Zelle (z.B. des CID oder des PTC)
  • die Berichtslegung mit einer Expertise über Qualität und Sicherheit des geprüften Zelldesigns als Entscheidungsgrundlage für den potenziellen Käufer der Zellen

Für Fragen zum Thema „Batteriequalifizierung“ stehen Ihnen die Experten der AG Sternad gerne zur Verfügung!

Beispiel für das Ergebnis eines Zyklisierexperimentes über 750 Zyklen (750 Lade- und Entladevorgänge) bei 25, 40 und 60 °C:

Elektrochemisches Experiment (Zyklisierung) eines industriellen 3 Ah 21700-Zelltyps unter temperaturkontrollierten Bedingungen

 

Kommt es während des ca. 4-5 Wochen dauernden Experimentes zu Störungen in der Batteriezelle, werden die Prüfvorgänge automatisch abgebrochen:

Zyklisierung von neun (drei pro Temperatur) Samsung INR21700-40T, 4000 mAh-Zellen, Aktivierung des zellinternen Stromunterbrechers („CID activation“) durch zu hohen Zellinnendruck bei 60 °C

Um den Zustand der Elektrodenbeschichtungen und den Sicherheitsstatus der Zellen nach 750 Zyklen beurteilen zu können, wird je Temperatur eine Zelle teilentladen und unter Schutzgas (Argon) in einer Glovebox geöffnet (post mortem Analyse):

Öffnen und Zerlegen einer 21700-Zelle unter Schutzgas (links) und makroskopische Prüfung der Separator- und Elektrodenoberflächen (rechts)

 

Aktuelle Projekte

  • Forschungs- und Dienstleistungsprojekte mit Firmenpartnern wie Einhell Germany AG und der DRÄXLMAIER Group.
  • FestBatt – Cluster of competence for Solid-state Batteries
  •  

 

Abgeschlossene Projekte

OptiStore - Optimierte Energiespeichersysteme zur nachhaltigen Verwertung (Europäische Union, EFRE)

Der Fachbereich Autonomes Fahren und Fahrerassistenzsysteme um Prof. Thomas Limbrunner forscht an autonomen Systemen sowie Fahrerassistenzsystemen. Die generelle Zielsetzung der Forschungsgruppe ist es, angewandte Forschung im breiten Spektrum der autonomen Systeme zu betreiben.

Der Fokus wird vor allem auf die nachfolgenden Schwerpunkte gelegt:

  • (Umfeld-) Sensorik
  • Algorithmik für Objektdiskriminierung
  • Objekttracking
  • Anomalieerkennung
  • META-Datengenerierung /-analyse (u.a. mittels künstlicher Intelligenz)
  • Gesamtsystemarchitektur autonomer Systeme

 

Testplattform im Modellmaßstab

Forschungsarbeit

Infrastrukturell setzt die Forschungsgruppe auf leistungsfähige KI-Server zur Algorithmenentwicklung und Simulation, auf Testbett-Umgebungen für beispielsweise automotive Ethernet wie auch geplant auf eine hoch genaue Fahrparametermesstechnik. Dies ermöglicht Studien im Bereich der Fahrfunktionspräzision, der Homologation, wie auch der User Experience (UX) und Usability.

Die Forschungsarbeit des Forschungsteams umfasst nahezu alle Bereiche des Autonomen Fahrens sowie die Weiterentwicklung von Fahrerassistenzsystemen. 

Aktuell wird u.a. an In-Vehicle Big Data Analytics Systemen zur Entwicklung datenbasierter Algorithmen mit Hilfe von intelligenten Edge-Knoten gearbeitet. Im Förderprojekt INSTATE werden mithilfe intelligenter Edge Devices bereits im Fahrzeug Metadaten erzeugt. Diese sind mit Sensoren eines Fahrzeugs verbunden. Die dabei generierten Metadaten können von einer Big Data Plattform verwendet werden, um das aktuelle Szenario zu verstehen. Zudem werden Daten, inklusive der Metadaten, nur bedarfsbezogen aufgezeichnet.

  • Datengetriebene Algorithmen für das autonome Fahren mithilfe intelligenter Edge-Knoten
  • Metadaten-Erzeugung direkt im Fahrzeug
  • Umwandlung der Sensordaten in komprimierte Streams
  • Backend-Anbindung über 5G Gateway

Im Projekt INSTATE sollen mittels Methoden der KI neue Wege zur Aufnahme und Verarbeitung von Sensordaten erforscht werden

Kürzlich abgeschlossen wurden die Arbeiten an innovativen Absicherungskonzepten für die Anlauftauglichkeit des Gesamtfahrzeugs im Zuge des Projekts iAATG. In dessen Zuge wurde u.a. an der Erkennung spezifischer Ereignisse aufgrund hoher Funktions-/Systemkomplexität mit Methoden der künstlichen Intelligenz geforscht (single event analyse).  Des Weiteren wurde an der Absicherung automatisierter Fahrfunktionen mittels induktiver Teststrategien für „Vehicle integrated Testing“ (Vitbox) gearbeitet sowie an der Absicherung und Validierung der Backendinteraktion bezüglich automatisierter Fahrfunktionen geforscht.

  • single event analyse
  • Vehicle integrated Testing
  • Backendinteraktion

Im Projekt iAATG werden neuartige Strategien zur Absicherung autonomer Fahrfunktionen erforscht.

Studentische Projekte

Ein wesentlicher Teil der Forschungsgruppe um Herrn Prof. Thomas Limbrunner ist die Zusammenarbeit mit Studenten über studentische Arbeiten und Abschlussarbeiten. Innerhalb dieser Projektarbeiten werden verschiedenste Sensorsyteme in Betrieb genommen und angebunden sowie anschließend die Daten ausgewertet und analysiert.

Eine wichtige Kooperation stellt hier die Zusammenarbeit des TC Plattling mit dem Studiengang "Master of Applied Research" dar. 

Beispiel einer IMU (Inertial measurement unit)

Beispiel einer Masterarbeit: simulationsgestützten Datengenerierung und -auswertung

Neben der Auswertung von Realdaten steht auch die simulationsgestütze Trainings-Datengenerierung für die Bildverarbeitung mittels künstlicher Intelligenz im Vordergrund der Forschungsarbeit.

 

übersicht geräte

  • GPU gestütztes Kubernetes Cluster für KI-Entwicklung  
  • Verschiedene Arbeitsplätze (additive Fertigung, Elektronikaufbauten, Hebebühnen, etc.) für die Umsetzung von prototypischen Aufbauten für die Forschung
  • Automotive Ethernet Testbett für Stresstests und Zeitsynchronisierung
  • 5G Campusnetz
  • ADAS Messtechnik mit Referenzsensorik
  • Entwicklungs- und Test-Equipment für Fahrzeugbuskommunikation
  • Monitor HiL und ADAS-Simulationsumgebung
  • verschiedene mobile autonome Plattformen für Sensor- und Funktions-Entwicklung 
  • GNSS - RTK Referenz Station

 

aktuelle projekte

DaDriVe - Data Driven Vehicle Validation by AI

INSTATE - In-Vehicle Big Data Analytics System zur Entwicklung datenbasierter Algorithmen mit Hilfe von intelligenten Edge-Knoten

 

abgeschlossene projekte

iAATG - Innovative Absicherungskonzepte für die Anlauftauglichkeit Gesamtfahrzeug; Pressemeldung

Projektpartner: BMW group Dingolfing, b-plus

Grenzland 5G

Der Fachbereich Robo-CT um Prof. Dr. Simon Zabler forscht an der 3D-Digitalisierung großer Objekte bis hin zu kompletten Fahrzeugen mit Hilfe einer roboterbasierten Digitalisierungszelle auf Basis der Röntgen-Computertomographie.

  • Multimodale Zerstörungsfreie Prüfung mit optischer Mess- und Röntgentechnik
  • Automatisierte 2D & 3D Röntgenprüfung großer, industriell relevanter Objekte
  • Flexible dreidimensionale Positionierung
  • Kollisionsfreie, automatische Roboterbewegung
  • Forschungsschwerpunkte
  • Computertomographische, kollisionsfreie Trajektorienoptimierung
  • Präzise Positionsbestimmung und Kalibrierung der Röntgenkomponenten
  • Datenvollständigkeit von Scantrajektorien
  • Weitere Anwendungsbeispiele

 

Exemplarische, aktuelle Herausforderungen

  • Optimierung der Objektplatzierung zur Vermeidung von nicht erreichbaren Bereichen
  • Bestimmung der notwendigen Freiheitsgrade für die Bewegung der Roboter

 

Übersicht geräte

  • Roboter: 2mal KUKA KR 120 R2900 extra auf jeweils den Linearachsen „KUKA Lineareinheit KL 4000"
  • Schwerlasttisch: WEISS – CR1000C
  • Röntgenquelle: Comet - XRS-225VF
  • Röntgendetektor: Varex Imaging – PaxScan 4343DX-I
  • Lasertracker: API – Radian
  • 3D Scanner: Photoneo – PhoXi 3D Scanner

 

Roboter mit Röntgendetektor

Roboter mit Röntgenquelle

 

aktuelle projekte

SmartCT
Im Projekt SmartCT werden KI-Methoden entwickelt und angewandt, die es robotergestützten Computertomographie-Systemen (Roboter-CT) ermöglichen, die äußeren und inneren Strukturen beliebiger Objekte autonom und zerstörungsfrei zu erfassen. Diese generierten Daten bilden die Grundlage für neuartige, innovative und datengetriebene Geschäftsmodelle in vielen Bereichen wie zum Beispiel der Produktentwicklung (Fahrzeugkomponenten, Flugzeugflügel, Batteriezellen etc.).

Röntgenbild eines E-Bikes

projekte

Ein Fokus der Technischen Hochschule Deggendorf (THD) ist die angewandte Forschung und Entwicklung. Die enge Kooperation mit Partnern aus Wirtschaft und Industrie gewährleistet eine industrienahe Forschung. Anders als in der der klassischen Grundlagenforschung an den Universitäten liegt das Hauptaugenmerk auf Anwendungsergebnissen bis zur Prototypphase sowie der Umsetzung und Nutzung der Forschungs- und Entwicklungsergebnisse.


Das Forschungs- und Entwicklungsangebot der THD umfasst:

  • Forschungs- und Entwicklungskooperationen zwischen Firmen, Instituten und Hochschule
  • Forschung im Rahmen von öffentlichen Förderprogrammen
  • Auftragsforschung und -entwicklung für die KMU's
  • Dienstleistungen sowie Untersuchungen im Rahmen von Hochschulprojekten
  • Entwicklungen von innovativen Technologien, Produkten und Ideen
  • Einzelprojekte
  • Zusammenarbeit in "Clustern"
     

Die ganzheitlichen Forschungsaktivitäten für innovative Lösungen, weit über den automobilen Bereich hinausgehend, bauen auf den bisherigen Forschungsaktivitäten der TH Deggendorf auf. Weitere Projekte zum Forschungsschwerpunkt Innovative Mobilität werden am Technologie Campus Freyung bearbeitet.

veranstaltungen & Aktuelles

5. Fachsymposium - Mobilität der Zukunft


9.10.2024 ab 09.00 Uhr im Bürgersaal Plattling 

Wie wird unsere Mobilität in Hinblick auf die zunehmende Nachfrage nach Zukunftsfähigkeit künftig aussehen? Welche Möglichkeiten bieten autonome Fahrzeuge?  

Das Fachsymposium möchte Chancen und Herausforderungen unserer Zeit auf dem Gebiet der Mobilität der Zukunft abbilden und nahbarer machen. 

Im Fokus der diesjährigen Veranstaltung stehen die neuesten Entwicklungen und Forschungsergebnisse zum Thema moderne Mobilität. Ein Schwerpunkt des Symposiums liegt auf den zentralen Bausteinen und Basistechnologien, die zu einer geschlossenen Wirkkette der Elektromobilität beitragen. Dabei handelt es sich um mobile, automatisierte oder auch autonome Systeme, Energiespeichersysteme und Leistungselektronik. Ein weiteres Augenmerk liegt auf der Anwendung fortschrittlicher, nichtinvasiver Analysemethoden der Computertomographie im Themenfeld der Mobilität. 

Im Rahmen des Symposiums können Innovationen in dem Bereich der modernen Mobilität erprobt und erfahren werden. Die Pausen geben Gelegenheit die Labore des Forschungszentrums zu besichtigen. Neben zahlreichen Vorträgen bieten wir zusätzlich eine Poster- und Fachausstellung an.  

Weitere Informationen zur Veranstaltung finden Sie hier

Die Anmeldung zum 5. Fachsymposium Zukunft der Mobiliät ist auch hier möglich.

 

 

Beim Kick-Off-Treffen bei Continental in Regensburg wurde das ambitionierte Förderprojekt "just better DATA (jbDATA)" aus der VDA-Leitinitiative autonomes und vernetztes Fahren ins Leben gerufen. Das Hauptziel dieses Projekts ist die Entwicklung fortschrittlicher KI-Methoden und Werkzeuge, um Daten für autonomes Fahren effizient und präzise zu sammeln und zu verarbeiten. Ein innovativer Ansatz des Projekts ist die Vorverarbeitung von Daten direkt im Fahrzeug, wodurch unnötige und energieintensive Datensammlungen vermieden werden. Nur ausgewählte Daten werden in der "Smart Data Loop" weiterverarbeitet, die ebenfalls im Rahmen von jbDATA entwickelt wird. Diese Daten werden dann analysiert und bei Bedarf mit synthetischen Daten ergänzt. Die Methoden von jbDATA sollen dabei helfen, zuverlässige Datensätze für das Testen und Trainieren von KI-basierten Fahrerassistenzsystemen zu erstellen. Beim Treffen wurden die Visionen und geplanten Aktionspläne der Teams ausgetauscht und die Herausforderungen des Projekts diskutiert. Mit großem Engagement blicken alle Beteiligten auf die nächsten drei Jahre und die spannenden Entwicklungen, die das Projekt bringen wird. Die Technische Hochschule Deggendorf mit den beiden Standorten Plattling und Vilshofen wird dabei mit insgesamt 1,8 Millionen Euro durch das Bundesministerium für Wirtschaft und Klimaschutz gefördert.

Das Projekt „NEFTON“ beschäftigt sich mit dem Aufbau und der Erprobung einer 1 MW Schnellladestation für LKWs. Nun konnte ein wichtiger Meilenstein erreicht werden – am Campus Plattling wurde der Schiffscontainer angeliefert, der als wetterfestes Gehäuse für die benötigte technische Ladeinfrastruktur dienen wird. Nun kann in der nächsten Phase mit dem Einbau der benötigten Leistungsmodule begonnen werden und die praktische Erprobung der Ladetechnik nähert sich in großen Schritten.

Bei der Abschlussveranstaltung zum Förderprojekt „iAATG“ präsentierten die Konsortialpartner ihre erreichten Forschungsergebnisse. Durch anschauliche Live Demonstrationen von Software und Hardware wurden die im Projekt erzielten Ergebnisse dargestellt und ein Ausblick in die zukünftige Nutzung gegeben. Im Anschluss an die Präsentationen hatten die Beteiligten die Möglichkeit, einige Forschungsergebnisse während einer Fahrt mit einem aus dem Projekt resultierenden Erprobungsfahrzeug von BMW persönlich zu erleben. Die Veranstaltung endete mit Brotzeit und einem intensiven Get-Together.

Gut 100 Teilnehmer aus verschiedensten Bereichen der regionalen Wirtschaft folgten dem Aufruf der Wirtschaftsjunioren Deggendorf e.V. zusammen mit dem TC Plattling, um dort an verschiedenen Vorträgen und Diskussionen zur Zukunft der Mobilität teilzunehmen. Anschließend an die Grußworte durch den Landrat Herrn Bernd Sibler, den Präsidenten der THD Herrn Prof. Peter Sperber und den Präsidenten der Wirtschaftjunioren Herrn Benedikt Brandl, konnten die Anwesenden aus unterschiedlichen Vorträgen der aktiven Forschung des Technologie Campus Plattling und von Unternehmen aus dem Bereich der modernen Mobilität wie beispielsweise der Firma Mer Germany GmbH, Fenecon GmbH und b-plus-GmbH (Projektpartner im Projekt OptiStore) neues Wissen und Einblicke in diese Thematik gewinnen.

Zum Abschluss konnten diese Erkenntnisse noch bei Laborführungen, an Ausstellungsständen und natürlich unter Beachtung des leiblichen Wohls ausführlich diskutiert werden.

Wir bedanken uns herzlich bei den Wirtschaftsjunioren für die Ermöglichung dieser Veranstaltung sowie den beteiligten Rednern und dem interessierten Publikum für die interessanten Vorträge und den lebhaften Austausch.

Außerdem gilt unser Dank dem Europäischen Fonds für regionale Entwicklung (EFRE-Förderung), der das gesamte Projekt gefördert hat.

Die örtliche, freiwillige Feuerwehr Plattling besuchte am 20.09.22 geplant den TC Plattling mit etwa 15 Personen. Hierbei wurden sie von der operativen Standortleitung Maria Nagy zusammen mit den Professoren Kreutzer und Sternad in Empfang genommen. Nach der allgemeinen Vorstellung der Forschungsgruppen wurden die örtlichen Gegebenheiten mit einem Fokus auf besondere Anforderungen an den Brandschutz, Gefahrenabwehr und Verhalten im Brandfall besichtigt. 

Mit Freude und regem Interesse wurde sich dann auch über die Besonderheiten bei der Löschung von eAutos unterhalten. Hier haben sich die Beteiligten besonders gefreut, sich mit Fachleuten aus unterschiedlichen Bereichen tiefgehend austauschen zu können und das Treffen im gemütlichen Beisammensein mit einer Brotzeit ausklingen zu lassen.

Am 12.07.22 war es endlich so weit: Der TC Plattling durfte sich über die offizielle Übergabe des lang ersehnten, restaurierten Bürogebäudes durch die Vertreter der Stadt Plattling freuen. Zur feierlichen EInweihung durften wir seitens der Stadt Plattling den Bürgermeister Herrn Schmalhofer, den Geschäftsleiter Herrn Hofmeister, die Vertreter der Fraktionen, unsere Ansprechpartner des technischen Bauamts Herrn Pfauntsch und Herrn Altmann  sowie die zuständigen Architekten des Architekturbüros Brunner und die Pressevertreter der örtlichen Presse begrüßen.

Außerdem haben wir uns sehr darüber gefreut, dass zur Einweihung unser Präsident Prof. Dr. rer. nat. Peter Sperber, VIzekanzler Prof. Dr.-Ing. Andreas Grzemba sowie die Kanzlerin der Hochschule, Frau Birgit Augustin und Herr Kunz, als Vertreter des Kommunikations- und Marketingteams der THD, anwesend waren. 

Nach ein paar kurzen Begrüßungsworten durften die Gäste bei einem ausgedehnten Rundgang die neuen Räumlichkeiten des Momo-Teams bestaunen. Die Gäste waren durchwegs beeindruckt von dem restaurierten Bahngebäude. Den Vormittag rundete ein anschließender Stehempfang ab. 

Durch das neue Bürogebäude wird dem Platzbedarf des stetig wachsenden Campus Rechnung getragen und eine weitere Entwicklung in Form von neuen Projekten und steigenden Mitarbeiterzahlen ermöglicht.

Wir bedanken uns ganz herzlich bei der Stadt Plattling für die tolle Gelegenheit in einem so geschichtsträchtigen und beeindruckenden Gebäude tätig sein zu dürfen und freuen uns auf die Zeit im neuen Bürogebäude.

 © Fotos: THD

Am 27.05.2022 wurde das Momo von einer Schülergruppe der Fachoberschule aus Deggendorf besucht. 

Herr Prof. Kreutzer führte die Schüler durch das Gebäude und durfte viele wissbegierige Fragen rund um die Themen Leistungselektronik, Robo-CT, neuartige Batteriespeichersysteme und die Innovationen im Bereich des autonomen Fahrens beantworten.

Wir bedanken uns herzlich für das Interesse an unseren Forschungsgruppen und den regen Austausch!

Am 25.05.2022 durfte sich das Momo-Team über den Besuch einiger hochrangiger Gäste freuen, allen voran Herr MdB Thomas Erndl.

Die vier Professoren des Forschungszentrums für moderne Mobilität durften u.a. Herrn Erndl, Vizepräsidenten Prof. Waldemar Berg sowie dem Bürgermeister der Stadt Plattling Herrn Schmalhofer in einem Rundgang ihre jeweiligen Forschungsbereiche näher bringen. 

In einem regen Gespräch zeigte Herr MdB Erndl seine Freude darüber, dass in Niederbayern in einem Forschungszentrum so viele wichtige Forschungsthemen vereint werden. 

Herr Schmalhofer wies auf die Hoffnung hin, über das Forschungszentrum eine lokale aber auch überreginale Vernetzung themenverwandter Firmen zu erreichen und so nachhaltig die Wirtschaft vor Ort zu stärken.

Das Team des Forschungszentrums für moderne Mobilität bedankt sich bei allen Gästen für den Besuch und das große Interesse an den Forschungsinhalten!

©Fotos + Zeitungsbericht: PNP/Plattlinger Zeitung

Am 07.05.2022 war das Momo-Team eingeladen am Tag der Verkehrssicherheit und dem Straßenfestival der bayerischen Polizei in München teilzunehmen.

Das Team des Forschungszentrums stellte hierbei zusammen mit der Polizei Niederbayern unter dem Motto "Tuningszene / Autoposer" dar, inwieweit Tuning und Posing in der zukünftigen Mobilität noch möglich ist. Den aktuellen Forschungsstand konnte das Momo-Team den Zuschauern u.a. dank der Unterstützung des Deggendorfer Formula Student Teams "Fast Forest" und einem von ihnen bereitgestellten, selbstentwickelten Rennwagens näherbringen.

Der Rennwagen war natürlich nicht nur für die Großen sondern auch für die ganz kleinen Besucher ein absoluter Magnet. Wer kann schließlich schon von sich behaupten bereits in ganz jungen Jahren in einem Rennwagen gesessen zu sein. 

Vielen Dank an die Polizeiinspektion Niederbayern für die Einladung zu diesem außergewöhnlichen und rundum gelungenen Ereignis sowie an das FastForest-Team für die tatkräftige Unterstützung!

Am 04.05.2022 hatte das Momo-Team Besuch des Cluster Mobility & Logistics aus Regensburg. 

Das Cluster stellt eine interdisziplinäre Vernetzung verschiedenster Unternehmen aus den Bereichen Mobilität und Logistik dar. Wissenschaft und Forschung sind dabei ein wesentlicher Teil. Primäres Ziel ist der Aufbau von Projekten , die durch die Vernetzung der Netzwerkpartner gefördert und vorangetrieben werden. 

Die Technische Hochschule Deggendorf ist selbst Teil des Clusters weshalb der Besuch für das Team des Forschungszentrums für moderne Mobilität ein guter Anlass war sich u.a. über aktuelle Projekte und Neuigkeiten auszutauschen.

Das Momo-Team bedankt sich an dieser Stelle für das Interesse und den regen Austausch!

Nach einer langen Corona-Pause durfte das Team des Forschungszentrums Moderne Mobilität am 18.03.2022 endlich wieder Gäste in seiner Forschungshalle begrüßen. Zu Gast war Firma Fenecon GmbH aus Deggendorf. 

Diese erstellt u.a. innovative Stromspeicher- und Energiemanagementsysteme und ist im Zuge des Projekts OptiStore ein wichtiger Kooperationspartner des TC Plattling. Bei einem gemeinsamen Rundgang durch die Labore und einer kurzen Vorstellung der Neuigkeiten aus den verschiedenen Forschungsgruppen des Zentrums für Moderne Mobilität durch die jeweiligen Professoren konnten sich alle Beteiligten auf den neuesten Stand bringen und potentielle neue Projektideen ausgearbeitet werden.

Das Team des TC Plattling dankt Firma Fenecon für Ihren Besuch!

06.10.2020: feierliche eröffnung des forschungszentrums moderne mobilität am tc plattling

Am 6. Oktober 2020 wurde das Forschungszentrums Moderne Mobilität am TC Plattling feierlich eröffnet. 

Auf Grund der Corona-Pandemie konnte nur eine begrenzte Anzahl von Gästen eingeladen werden.

Gerade deshalb möchten wir Impressionen zu dieser Veranstaltung mit Ihnen teilen.

Video-Eindrücke:

Das neue Forschungszentrum Moderne Mobilität am TC Plattling

PNP Online - Eröffnungsveranstaltung MoMo - 6. Oktober 2020

anfahrt

Technische Hochschule Deggendorf
Technologie Campus Plattling

Forschungszentrum "Moderne Mobilität"

Werkstraße 17
D-94447 Plattling
 

Postanschrift:

 
Werkstrasse 17
94447 Plattling
 
Telefon: +49 991 3615 8600
Fax: +49 991 3615 297
E-Mail: tc-plattling@th-deg.de